
超聲波流量計由三部分組成:超聲波轉換器、電子轉換線路和流量顯示累積系統。超聲波轉換器由鑄鐵酸鉛壓電元件制成,利用壓電效應發射和接收聲波,通過檢測流體對超聲波束(或超聲波脈沖)的影響來測量流量。
超聲波流量計原理:當傳輸的聲信號通過管道中的介質流動時,其傳輸速度受介質流量速度的影響。
兩個傳感器之間的聲信號傳輸時間取決于管道中介質的流量。聲信號通過上游的時間比通過下游的時間長。時差DT與管道中介質的流量VF成比例。如圖1所示。
V:介質流量;
M:液體中聲束直線傳播次數;
D:管道內徑;Tup:順流時聲束的傳播時間;
Tdown:逆流時聲束的傳播時間;△T=Tup-Tdown。
當超聲波束在液體中傳播時,液體的流動會微改變傳播時間,傳播時間與液體流量完全相同(實際測量零流量的唯一技術);當介質流動時,逆流方向的聲波傳輸時間大于順流方向的聲波傳輸時間。其關系符合上述表達式。

目前使用的超聲波流量計系統主要是合理的:
1.1速度法:
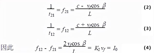
管道內介質流量vf按以下公式獲得:
(L/2cos)
公式:T1,T2分別代表聲信號通過上下游時間;
通過上下游之間的時差,dt為聲信號;
L通過路徑長度作為聲信號;
β代表管軸與L之間的角度。
1.2環鳴系統法(Sing2aroundSystem)
如果將兩個脈沖鏈的頻率差與兩個不同方向的流速成比例。
這是流速的基頻表示,與流體中的聲速無關。

上述兩種流體流量算法的理論基礎相同,其流體流量VF的理論值基本相同。使用不同的二次儀器設置不同的流量系數來顯示其體積流量。
性能特點:
(1)適用于各種管徑流量的高精度測量,其流量和管徑越大,精度越高;
(2)測量范圍(量程比)很寬,一般為1:40~1:160,最大可達1:300;
(3)重復性高,可實現雙向流量計量;
(4)流量計本體無壓力損失,能準確測量脈動流;
(5)節能,可大大降低長輸管道增壓成本;
(6)不受沉積物或水分的影響,無可動部件;
(7)上下游直管段短(上游10D,下游3D);
(8)無磨損,無零漂移,偏差小;
(9)動態測量范圍廣;
(10)不受渦流和流量剖面變化的影響;
(11)不受壓力、溫度、分子量、氣體成分變化的影響;
(12)無需重復校準。
流量計性能比較:
應用:
1.測量體積流量。
作為一種流量計,其流量范圍非常寬,可以雙向測量,也可以測量粘度高甚至流量小的流體。同時,它的維護成本也很低。它沒有管道中的機械部件,不受其他介質的影響,不需要調整和控制,也不需要停止生產。但超聲波流量計的精度取決于介質的特性。其補償技術是必要的。為了簡化補償系數f,必須在上游和下游保留10倍直徑的直管段。在一定的安裝條件和流體特性下,可以確定實際的流量系數進行補償。
2.泄漏檢測。
在正常情況下,輸送管道的入口流量應完全等于管道的出口流量。如果沒有,則必須有泄漏。如果兩個測量儀器之間的測量讀數發生變化,超過額定精度,則可發現泄漏。測量儀器越準確,泄漏檢測就越準確。但是,對于大直徑管道檢測,由于溫度和壓力的影響,還應考慮溫度和壓力變化的補償。例如,DN1000管道的溫度變化為10℃,體積變化為0.8%。DN1000長100公里的管道在0.1MPa壓力變化下可導致10m3體積變化。鑒于這種情況,兩組流量計之間的距離不是很長。距離越短,泄漏就越容易檢測到。
誤差分析:
1.噪聲影響。
超聲波流量計可能會受到附近超聲波噪聲源的不利影響。噪聲源包括減少可聽噪聲的無噪聲閥、壓力調節器和管道的其他重要節流部件。流量計制造商正在積極解決這個問題。測量站的設計師應該向制造商尋求幫助。現場經驗表明,最好在流量計上游找到潛在的噪聲源,并在流量計和噪聲源之間設置彎頭,以減少額外的超聲噪聲。
2.流體清潔度的影響。
超聲波傳送器表面的堆積物(壓縮機油、冷凝劑等)可能不會通過流體傳遞超聲波脈沖。這可能會導致所謂的超聲波路徑脫落,路徑脫落會增加測量誤差。在測量氣流時,當氣流安裝位置相同時,初始體積較大的空氣罐可以更有效地控制水沖擊壓力的產生,即空氣罐越大越好。但在實際工程中,其尺寸受到經濟、外觀等因素的限制。空氣罐的容量通常由計算方法決定。圖5顯示了不同安裝位置A壓力變化的影響。從圖5可以看出,安裝在不同位置的空氣罐對管道的壓力有不同的影響。當空氣罐安裝在B處時,A處的水沖擊控制不大,增強了水沖擊的可能性,即其水沖擊壓力可能大于安裝空氣罐時的水沖擊壓力。
當管道系統終端閥立即關閉時,在輸液管的適當位置安裝一定體積的空氣罐,可有效控制水擊的發生。空氣罐的初始體積越大,水擊控制越有效;空氣罐安裝在某些位置,體積小時,安裝空氣罐后的水擊壓力有時大于不安裝空氣罐時的水擊壓力。
可選傳感器:
綜合超聲波冷/熱量表:
一體式超聲波冷/熱表避免了安裝過程中人為和管道因素造成的外束和插入式傳感器誤差。具有精度高、范圍寬、無壓力損失、安裝簡單等優點。
分體式超聲波冷/熱量表:
固定分體式超聲波冷/熱表廣泛應用于加熱管網的在線測量中。主機分為壁掛標準型、壁掛防爆型、盤裝型和本地顯示型。傳感器分為外綁式、插入式、管段式等。
傳感器:
插入式傳感器:
安裝過程中,使用專用開孔工具在測量管道上打孔,直接接觸測量傳感器和測量介質,可按壓安裝。傳感器解決了外捆傳感器在測量厚管道時不易接收信號、長期測量信號衰減的問題,具有不間斷安裝、免維護、與管徑無關、無壓力損失等特點。
管段傳感器:
管段傳感器是一種利用法蘭將管段傳感器與被測管道直接連接的測量方法。該傳感器解決了安裝過程中人工或被測管道參數不準確造成的誤差,具有測量精度高、穩定性好、免維護等特點。
安裝點選擇:
為保證測量精度和穩定性,在流場均勻分布的直管段應選擇傳感器的安裝點。
注意事項:
管軸水平位置±45°范圍內安裝傳感器;接地主機殼體。